水岸花园项目和清河佳苑项目商业用房第二次公开招商招租大会公告
狗万MAX官方网站水岸花园项目和清河佳苑项目商业用房招商招租工作已经集团公司批准,现公开发布第二次商业用房公开招商招租公告,本次公开招商招租计划采取公开竞价的方式,分为销售公开竞价和出租公开竞价。欢迎合格的潜在商户参加公开招商招租活动。
一、招商标的物及概况
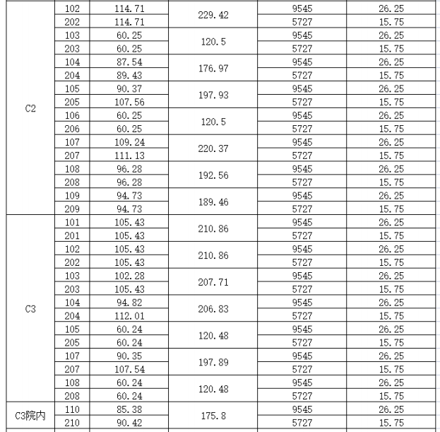
1、竞价租售标的物:本次公开竞价商业用房范围为水岸花园项目临湖门面房和清河佳苑项目B区、C区、D区门面房,其中水岸花园项目商业用房位于清河湖南岸学院路与板桥路交叉口西侧临湖门面房,清河佳苑项目商业用房位于清河湖北侧盘龙山路、创业大道、学院路、古槐路合围区域。具体户室号码、建筑面积、租售底价详见本次竞价文件中商业用途房屋租售清单(详见附件),以实际现状为准。
2、竞价人注意事项:竞价人应当实地察看,有疑问及时咨询招商工作人员。未实地察看或实地察看自行作出推理性的判断,不能作为后期合同变更的依据。如出现市场行情租售价格低于本次合同租售价格的,招商单位不予调整。对于出租的商业用房,后期招商单位根据市场行情有调增租价的权利。
二、出租商业用房租赁期限及支付方式
1、租赁期限:本次标的物一年起租,大面积租赁商业用房的商户租赁期限和租价变动情况结合实际情况面谈,最终租赁期限以与出租人签订的合同为准。
2、付款方式:租金按年支付,先付后用,具体付款方式以合同约定为准。
三、招商竞价方式
本次公开竞价按照狗万MAX官方网站聘请第三方中介机构评估的最低租售价格为底价,原则上由报价最高的商家获得入驻资格。以每个独立商业部分为单个竞价单位,单个竞价单位根据竞价人报名情况分四种情形:
1、对于仅有一名意向竞价人参与竞价的,拟租售部分商业以底价出租或出售;
2、对于有两名或两名以上意向竞价人参与同一个单位竞价的,出租部分每次竞价幅度为每平米以1元或其倍数递增,出售部分每次竞价幅度为每平米以100元或其倍数递增,由报价最高的商家获得入驻资格;一层二层同时租售出现竞价情况时,默认为一层二层同时加价。
3、对于有较大影响力、带动能力较强的知名商家参与大面积商业竞价并要求协商优惠租售价格的,具体租售价格一事一议,报集团公司党委会或董事会研究决定。
4、同等条件下,对于水岸花园业主方本人有意购买或租赁商业用房的可优先考虑,根据集团公司制定的相关补偿方案,给予一定租售价格优惠。
四、重大事项披露
1、本次租售标的物均已抵押或拟抵押,对于计划购买商业用房的商户,抵押期内暂时无法办理产权证书和银行商业贷款。
2、本次租售标的物以第三方实测面积为准,如有误差不影响成交价。
3、标的物租赁用途仅限于商业用途。如承租人不按上述用途使用房屋并导致租赁合同不能履约或解除合同的,责任由承租人承担。
4、承租人不得随意自行改变房屋的主体结构和拆除房屋墙体及原有的固定设施,如有需要须取得招商人同意,承租人应规范使用明火,禁止存放易燃易爆等危险物品。承租人在房屋租赁期间内要加强房屋质量及安全管理,确保房屋使用安全,如发生质量及安全事故,需由承租人承担一切损失和法律责任。
5、承租人如需对房屋及室内进行装修,不得改变房屋结构,一切装修费用自理,不抵算房租。租期结束后,承租人不得以此向出租人提出债权要求。
6、未经招租人书面同意,承租人不得将租赁标物的全部或部分进行分割转租。
7、承租人要确保合法使用房屋且所经营的项目不影响周边居民。
8、承租人必须按照国家规定合法经营,不得经营黄、赌、毒等违法业务。
五、招商竞价人资格条件
1、中国境内法人、其他组织、公民并依法取得相应证照及个人合法身份证件。
2、具有良好的信用且无类似招标交易活动不良记录。
3、具有民事行为能力及相应的支付能力。
六、现场踏勘及集中咨询时间、地点:
1、现场踏勘时间及集中咨询时间:2023年6月2日8时00分—2023年6月8日18时00分。
2、咨询地点:水岸花园售楼部(驻马店洪河大道与学院路交叉口水岸花园综合楼)。
3、2023年6月2日至6月8日工作日,到水岸花园售楼部现场填写竞价报名表,并了解相关情况。
4、联系人:赵 燕 联系电话:13513860107
吉爱红 联系电话:13803969619
张 超 联系电话:17550213766
七、竞价保证金数额及交纳方式:
1、竞价保证金数额:人民币10000元/竞价单元,一个人或一个法人单位同时可参加一个竞价单元或多个竞价单元招租竞价,每个竞价单元须分别缴纳竞价保证金(如参加2个竞价单元招商的竞价,须缴纳20000元),竞价成功后续作为租售预付款使用。
2、在竞价截止时间前缴至下列账户:
收款单位:驻马店市广德实业有限公司;
开户银行:中原银行驻马店分行营业部;
账 号:5010 1378 9505 026;
3、缴纳方式:银行卡转账、现金缴款单;请各竞价人提前办理竞价保证金缴纳手续,以确保竞价保证金在竞价截止时间前到达指定账户,没有到账的保证金一律无效。竞价人未能按上述要求提交竞价保证金的,将视其为不响应竞价而予以拒绝,未能竞价成功的商户竞价结束后三个工作日退还竞价保证金(缴纳保证金期间利息不再计算)。
八、报名登记和竞价时间地点
1、报名时间:2023年6月2日9时00分起—2023年6月8日18时00分止。
2、提交资料:商业用房竞价报名表;竞价人为公民的,须提供本人身份证原件扫描件,授权委托的,还须提供授权委托书扫描件及被授权人的身份证原件扫描件(竞价人在身份证扫描件或委托书上注明联系人、联系电话、邮箱地址);竞价人为法人单位或其他组织的,须提供盖章的营业执照(或多证合一)、法定代表人(或其他组织的负责人)身份证原件扫描件。如授权委托的,还须提供授权委托书扫描件及被授权人的身份证原件扫描件竞价人在委托书上注明联系人、联系电话、邮箱地址、所竞价标的物。
3、公开竞价时间:2023年6月9日15时30分,公开竞价地点:置地大道与骏马路交叉口原盐业公司办公楼六楼东会议室。
九、公告发布的媒介
本次公开竞价公告在狗万MAX官方网站官网(/)上发布。
十、其他事项
本次竞价事项接受狗万MAX官方网站纪律检查室全程监督,潜在竞价人如对本竞价公告有疑问或异议,应以书面形式向招租人或招商代理机构提出。
招租人:狗万MAX官方网站
联系人:赵云 联系电话:0396-2618880 19803623725
监督电话: 联系电话:0396-2619396 18839660553
招商代理机构:驻马店市广德实业有限公司
联系人:赵 燕 联系电话:13513860107
吉爱红 联系电话:13803969619
附件:水岸花园项目和清河佳苑项目商业用房租售清单






